综合知识
1/75
某操作系统采用分页存储管理方式,下图给出了进程A和进程B的页表结构,如果物理页的大小为512字节,那么进程A逻辑地址为1111(十进制)的变量存放在(1)号物理内存页中。假设进程A的逻辑页4与进程B的逻辑页5要共享物理页8,那么应该在进程A页表的逻辑页4和进程B页表的逻辑页5对应的物理页处分别填(2)。
综合知识
2/75
某操作系统采用分页存储管理方式,下图给出了进程A和进程B的页表结构,如果物理页的大小为512字节,那么进程A逻辑地址为1111(十进制)的变量存放在(1)号物理内存页中。假设进程A的逻辑页4与进程B的逻辑页5要共享物理页8,那么应该在进程A页表的逻辑页4和进程B页表的逻辑页5对应的物理页处分别填(2)。
综合知识
3/75
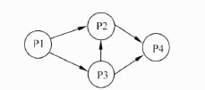
进程P1、P2、P3和P4的前趋图如下所示:

若用PV操作控制进程P1〜P4并发执行的过程,则需要设置5个信号量S1、S2、S3、S4和S5,且信号量S1〜S5的初值都等于0。下图中a、b和c处应分别填写(3)d、e和f处应分别填写(4)。
综合知识
4/75
进程P1、P2、P3和P4的前趋图如下所示:

若用PV操作控制进程P1〜P4并发执行的过程,则需要设置5个信号量S1、S2、S3、S4和S5,且信号量S1〜S5的初值都等于0。下图中a、b和c处应分别填写(3)d、e和f处应分别填写(4)。
综合知识
5/75
假设关系模式R(U,F),属性集U={A,B,C},函数依赖集F={A→B,B→C}。若将其分解为p={Rl(U1,F1),R2(U2,F2)},其中U1={A,B},U2={A,C}。那么,关系模式R、R1、R2分别达到了(5);分解p(6)。
综合知识
6/75
假设关系模式R(U,F),属性集U={A,B,C},函数依赖集F={A→B,B→C}。若将其分解为p={Rl(U1,F1),R2(U2,F2)},其中U1={A,B},U2={A,C}。那么,关系模式R、R1、R2分别达到了(5);分解p(6)。
综合知识
7/75
给定员工关系EMP(EmpID,Ename,sex,age,tel,DepID),其属性含义分别为:员工号、姓名、性别、年龄、电话、部门号;部门关系DEP(DepID,Dname,Dtel,DEmpID),其属性含义分别为:部门号、部门名、电话,负责人号。若要求DepID参照部门关系DEP的主码DepID,则可以在定义EMP时用(7)进行约束。 若要査询开发部的负责人姓名、年龄,则正确的关系代数表达式为(8)。
综合知识
8/75
给定员工关系EMP(EmpID,Ename,sex,age,tel,DepID),其属性含义分别为:员工号、姓名、性别、年龄、电话、部门号;部门关系DEP(DepID,Dname,Dtel,DEmpID),其属性含义分别为:部门号、部门名、电话,负责人号。若要求DepID参照部门关系DEP的主码DepID,则可以在定义EMP时用(7)进行约束。 若要査询开发部的负责人姓名、年龄,则正确的关系代数表达式为(8)。
综合知识
9/75
在实时操作系统中,两个任务并发执行,一个任务要等待另一个任务发来消息,或建立某个条件后再向前执行,这种制约性合作关系被称为任务的(9)。
综合知识
10/75
在嵌入式系统设计中,用来进行CPU调试的常用接口是(10)。
综合知识
11/75
看门狗(WatchDog)是嵌入式系统中一种常用的保证系统可靠性的技术,(11)会产生看门狗中断。
综合知识
12/75
以下关于实时操作系统(RTOS)任务调度器的叙述中,正确的是(12)。
综合知识
13/75
以下关于层次化网络设计原则的叙述中,错误的是(13)。
综合知识
14/75
网络需求分析包括网络总体需求分析、综合布线需求分析、网络可用性与可靠性分析、网络安全性需求分析,此外还需要进行(14)。
综合知识
15/75
主机PC对某个域名进行查询,最终由该域名的授权域名服务器解析并返回结果,查询过程如下图所示。这种查询方式中不合理的是(15)。
综合知识
16/75
把应用程序中应用最频繁的那部分核心程序作为评价计算机性能的标准程序,称为(16)程序。(17)不是对Web服务器进行性能评估的主要指标。
综合知识
17/75
把应用程序中应用最频繁的那部分核心程序作为评价计算机性能的标准程序,称为(16)程序。(17)不是对Web服务器进行性能评估的主要指标。
综合知识
18/75
与电子政务相关的行为主体主要有三个,即(18),政府的业务活动也主要围绕着这三个行为主体展开。
综合知识
19/75
企业信息化涉及对企业管理理念的创新,按照市场发展的要求,对企业现有的管理流程重新整合,管理核心从对(19)的管理,转向对(20)的管理,并延伸到对企业技术创新、工艺设计、产品设计、生产制造过程的管理,进而还要扩展到对(21)的管理乃至发展到电子商务。
综合知识
20/75
企业信息化涉及对企业管理理念的创新,按照市场发展的要求,对企业现有的管理流程重新整合,管理核心从对(19)的管理,转向对(20)的管理,并延伸到对企业技术创新、工艺设计、产品设计、生产制造过程的管理,进而还要扩展到对(21)的管理乃至发展到电子商务。
综合知识
21/75
企业信息化涉及对企业管理理念的创新,按照市场发展的要求,对企业现有的管理流程重新整合,管理核心从对(19)的管理,转向对(20)的管理,并延伸到对企业技术创新、工艺设计、产品设计、生产制造过程的管理,进而还要扩展到对(21)的管理乃至发展到电子商务。
综合知识
22/75
企业信息集成按照组织范围分为企业内部的信息集成和外部的信息集成。在企业内部的信息集成中,(22)实现了不同系统之间的互操作,使得不同系统之间能够实现数据和方法的共享;(23)实现了不同应用系统之间的连接、协调运作和信息共享。
综合知识
23/75
企业信息集成按照组织范围分为企业内部的信息集成和外部的信息集成。在企业内部的信息集成中,(22)实现了不同系统之间的互操作,使得不同系统之间能够实现数据和方法的共享;(23)实现了不同应用系统之间的连接、协调运作和信息共享。
综合知识
24/75
数据挖掘是从数据库的大量数据中揭示出隐含的、先前未知的并有潜在价值的信息的非平凡过程,主要任务有(24)。
综合知识
25/75
详细的项目范围说明书是项目成功的关键,(25)不属于项目范围定义的输入。
综合知识
26/75
活动定义是项目时间管理中的过程之一,(26)是进行活动定义时通常使用的一种工具。
综合知识
27/75
以下叙述中,(27)不属于可行性分析的范畴。
综合知识
28/75
遗留系统的演化可以采用淘汰、继承、改造和集成四种策略。若企业中的遗留系统技术含量较高,业务价值较低,在局部领域中工作良好,形成了一个个信息孤岛时,适合于采用(28)演化策略。
综合知识
29/75
逆向工程导出的信息可以分为实现级、结构级、功能级和领域级四个抽象层次。程序的抽象语法树属于(29);反映程序分量之间相互依赖关系的信息属于(30)。
综合知识
30/75
逆向工程导出的信息可以分为实现级、结构级、功能级和领域级四个抽象层次。程序的抽象语法树属于(29);反映程序分量之间相互依赖关系的信息属于(30)。
综合知识
31/75
在面向对象设计中,(31)可以实现界面控制、外部接口和环境隔离。(32)作为完成用例业务的责任承担者,协调、控制其他类共同完成用例规定的功能或行为。
综合知识
32/75
在面向对象设计中,(31)可以实现界面控制、外部接口和环境隔离。(32)作为完成用例业务的责任承担者,协调、控制其他类共同完成用例规定的功能或行为。
综合知识
33/75
基于RUP的软件过程是一个迭代过程。一个开发周期包括初始、细化、构建和移交四个阶段,每次通过这四个阶段就会产生一代软件,其中建立完善的架构是(33)阶段的任务。采用迭代式开发,(34)。
综合知识
34/75
基于RUP的软件过程是一个迭代过程。一个开发周期包括初始、细化、构建和移交四个阶段,每次通过这四个阶段就会产生一代软件,其中建立完善的架构是(33)阶段的任务。采用迭代式开发,(34)。
综合知识
35/75
某系统中的文本显示类(TextView)和图片显示类(PictureView)都继承了组件类(Component),分别显示文本和图片内容,现需要构造带有滚动条或者带有黑色边框,或者既有滚动条又有黑色边框的文本显示控件和图片显示控件,但希望最多只增加3个类。那么采用设计模式(35)可实现该需求,其优点是(36) 。
综合知识
36/75
某系统中的文本显示类(TextView)和图片显示类(PictureView)都继承了组件类(Component),分别显示文本和图片内容,现需要构造带有滚动条或者带有黑色边框,或者既有滚动条又有黑色边框的文本显示控件和图片显示控件,但希望最多只增加3个类。那么采用设计模式(35)可实现该需求,其优点是(36) 。
综合知识
37/75
以下关于自顶向下开发方法的叙述中,正确的是(37)
综合知识
38/75
以下关于白盒测试方法的叙述中,错误的是(38)。
综合知识
39/75
以下关于面向对象软件测试的叙述中,正确的是(39)。
综合知识
40/75
软件系统架构是关于软件系统的结构、(40)和属性的高级抽象。在描述阶段,主要描述直接构成系统的抽象组件以及各个组件之间的连接规则,特别是相对细致地描述组件的(41)。在实现阶段,这些抽象组件被细化为实际的组件,比如具体类或者对象。软件系统架构不仅指定了软件系统的组织和(42)结构,而且显示了系统需求和组件之间的对应关系,包括设计决策的基本方法和基本原理。
综合知识
41/75
软件系统架构是关于软件系统的结构、(40)和属性的高级抽象。在描述阶段,主要描述直接构成系统的抽象组件以及各个组件之间的连接规则,特别是相对细致地描述组件的(41)。在实现阶段,这些抽象组件被细化为实际的组件,比如具体类或者对象。软件系统架构不仅指定了软件系统的组织和(42)结构,而且显示了系统需求和组件之间的对应关系,包括设计决策的基本方法和基本原理。
综合知识
42/75
软件系统架构是关于软件系统的结构、(40)和属性的高级抽象。在描述阶段,主要描述直接构成系统的抽象组件以及各个组件之间的连接规则,特别是相对细致地描述组件的(41)。在实现阶段,这些抽象组件被细化为实际的组件,比如具体类或者对象。软件系统架构不仅指定了软件系统的组织和(42)结构,而且显示了系统需求和组件之间的对应关系,包括设计决策的基本方法和基本原理。
综合知识
43/75
软件架构风格是描述某一特定应用领域中系统组织方式的惯用模式。架构风格定义了一类架构所共有的特征,主要包括架构定义、架构词汇表和架构(43)..
综合知识
44/75
以下叙述,(44)不是软件架构的主要作用。
综合知识
45/75
特定领域软件架构(Domain Specific Software Architecture,DSSA)是在一个特定应用领域中,为一组应用提供组织结构参考的标准软件体系结构。DSSA通常是一个具有三个层次的系统模型,包括(45)环境、领域特定应用开发环境和应用执行环境,其中(46)主要在领域特定应用开发环境中工作。
综合知识
46/75
特定领域软件架构(Domain Specific Software Architecture,DSSA)是在一个特定应用领域中,为一组应用提供组织结构参考的标准软件体系结构。DSSA通常是一个具有三个层次的系统模型,包括(45)环境、领域特定应用开发环境和应用执行环境,其中(46)主要在领域特定应用开发环境中工作。
综合知识
47/75
《编译器》是一种非常重要的基础软件,其核心功能是对源代码形态的单个或一组源程序依次进行预处理、词法分析、语法分析、语义分析、代码生成、代码优化等处理,最终生成目标机器的可执行代码。考虑以下与编译器相关的软件架构设计场景:
传统的编译器设计中,上述处理过程都以独立功能模块的形式存在,程序源代码作为一个整体,依次在不同模块中进行传递,最终完成编译过程。针对这种设计思路,传统的编译器采用(47)架构风格比较合适。
随着编译、链接、调试、执行等开发过程的一体化趋势发展,集成开发环境(IDE)随之出现。IDE集成了编译器、连接器、调试器等多种工具,支持代码的增量修改与处理,能够实现不同工具之间的信息交互,覆盖整个软件开发生命周期。针对这种需求,IDE采用(48)架构风格比较合适。IDE强调交互式编程,用户在修改程序代码后,会同时触发语法高亮显示、语法错误提示、程序结构更新等多种功能的调用与结果呈现,针对这种需求,通常采用(49)架构风格比较合适。
某公司己经开发了一款针对某种嵌入式操作系统专用编程语言的IDE,随着一种新的嵌入式操作系统上市并迅速占领市场,公司决定对IDE进行适应性改造,支持釆用现有编程语言进行编程,生成符合新操作系统要求的运行代码,并能够在现有操作系统上模拟出新操作系统的运行环境,以支持代码调试工作。针对上述要求,为了使IDE能够生成符合新操作系统要求的运行代码,采用基于(50)的架构设计策略比较合适;为了模拟新操作系统的运行环境,通常采用(51)架构风格比较合适。
综合知识
48/75
《编译器》是一种非常重要的基础软件,其核心功能是对源代码形态的单个或一组源程序依次进行预处理、词法分析、语法分析、语义分析、代码生成、代码优化等处理,最终生成目标机器的可执行代码。考虑以下与编译器相关的软件架构设计场景:
传统的编译器设计中,上述处理过程都以独立功能模块的形式存在,程序源代码作为一个整体,依次在不同模块中进行传递,最终完成编译过程。针对这种设计思路,传统的编译器采用(47)架构风格比较合适。
随着编译、链接、调试、执行等开发过程的一体化趋势发展,集成开发环境(IDE)随之出现。IDE集成了编译器、连接器、调试器等多种工具,支持代码的增量修改与处理,能够实现不同工具之间的信息交互,覆盖整个软件开发生命周期。针对这种需求,IDE采用(48)架构风格比较合适。IDE强调交互式编程,用户在修改程序代码后,会同时触发语法高亮显示、语法错误提示、程序结构更新等多种功能的调用与结果呈现,针对这种需求,通常采用(49)架构风格比较合适。
某公司己经开发了一款针对某种嵌入式操作系统专用编程语言的IDE,随着一种新的嵌入式操作系统上市并迅速占领市场,公司决定对IDE进行适应性改造,支持釆用现有编程语言进行编程,生成符合新操作系统要求的运行代码,并能够在现有操作系统上模拟出新操作系统的运行环境,以支持代码调试工作。针对上述要求,为了使IDE能够生成符合新操作系统要求的运行代码,采用基于(50)的架构设计策略比较合适;为了模拟新操作系统的运行环境,通常采用(51)架构风格比较合适。
综合知识
49/75
《编译器》是一种非常重要的基础软件,其核心功能是对源代码形态的单个或一组源程序依次进行预处理、词法分析、语法分析、语义分析、代码生成、代码优化等处理,最终生成目标机器的可执行代码。考虑以下与编译器相关的软件架构设计场景:
传统的编译器设计中,上述处理过程都以独立功能模块的形式存在,程序源代码作为一个整体,依次在不同模块中进行传递,最终完成编译过程。针对这种设计思路,传统的编译器采用(47)架构风格比较合适。
随着编译、链接、调试、执行等开发过程的一体化趋势发展,集成开发环境(IDE)随之出现。IDE集成了编译器、连接器、调试器等多种工具,支持代码的增量修改与处理,能够实现不同工具之间的信息交互,覆盖整个软件开发生命周期。针对这种需求,IDE采用(48)架构风格比较合适。IDE强调交互式编程,用户在修改程序代码后,会同时触发语法高亮显示、语法错误提示、程序结构更新等多种功能的调用与结果呈现,针对这种需求,通常采用(49)架构风格比较合适。
某公司己经开发了一款针对某种嵌入式操作系统专用编程语言的IDE,随着一种新的嵌入式操作系统上市并迅速占领市场,公司决定对IDE进行适应性改造,支持釆用现有编程语言进行编程,生成符合新操作系统要求的运行代码,并能够在现有操作系统上模拟出新操作系统的运行环境,以支持代码调试工作。针对上述要求,为了使IDE能够生成符合新操作系统要求的运行代码,采用基于(50)的架构设计策略比较合适;为了模拟新操作系统的运行环境,通常采用(51)架构风格比较合适。
综合知识
50/75
《编译器》是一种非常重要的基础软件,其核心功能是对源代码形态的单个或一组源程序依次进行预处理、词法分析、语法分析、语义分析、代码生成、代码优化等处理,最终生成目标机器的可执行代码。考虑以下与编译器相关的软件架构设计场景:
传统的编译器设计中,上述处理过程都以独立功能模块的形式存在,程序源代码作为一个整体,依次在不同模块中进行传递,最终完成编译过程。针对这种设计思路,传统的编译器采用(47)架构风格比较合适。
随着编译、链接、调试、执行等开发过程的一体化趋势发展,集成开发环境(IDE)随之出现。IDE集成了编译器、连接器、调试器等多种工具,支持代码的增量修改与处理,能够实现不同工具之间的信息交互,覆盖整个软件开发生命周期。针对这种需求,IDE采用(48)架构风格比较合适。IDE强调交互式编程,用户在修改程序代码后,会同时触发语法高亮显示、语法错误提示、程序结构更新等多种功能的调用与结果呈现,针对这种需求,通常采用(49)架构风格比较合适。
某公司己经开发了一款针对某种嵌入式操作系统专用编程语言的IDE,随着一种新的嵌入式操作系统上市并迅速占领市场,公司决定对IDE进行适应性改造,支持釆用现有编程语言进行编程,生成符合新操作系统要求的运行代码,并能够在现有操作系统上模拟出新操作系统的运行环境,以支持代码调试工作。针对上述要求,为了使IDE能够生成符合新操作系统要求的运行代码,采用基于(50)的架构设计策略比较合适;为了模拟新操作系统的运行环境,通常采用(51)架构风格比较合适。
综合知识
51/75
《编译器》是一种非常重要的基础软件,其核心功能是对源代码形态的单个或一组源程序依次进行预处理、词法分析、语法分析、语义分析、代码生成、代码优化等处理,最终生成目标机器的可执行代码。考虑以下与编译器相关的软件架构设计场景:
传统的编译器设计中,上述处理过程都以独立功能模块的形式存在,程序源代码作为一个整体,依次在不同模块中进行传递,最终完成编译过程。针对这种设计思路,传统的编译器采用(47)架构风格比较合适。
随着编译、链接、调试、执行等开发过程的一体化趋势发展,集成开发环境(IDE)随之出现。IDE集成了编译器、连接器、调试器等多种工具,支持代码的增量修改与处理,能够实现不同工具之间的信息交互,覆盖整个软件开发生命周期。针对这种需求,IDE采用(48)架构风格比较合适。IDE强调交互式编程,用户在修改程序代码后,会同时触发语法高亮显示、语法错误提示、程序结构更新等多种功能的调用与结果呈现,针对这种需求,通常采用(49)架构风格比较合适。
某公司己经开发了一款针对某种嵌入式操作系统专用编程语言的IDE,随着一种新的嵌入式操作系统上市并迅速占领市场,公司决定对IDE进行适应性改造,支持釆用现有编程语言进行编程,生成符合新操作系统要求的运行代码,并能够在现有操作系统上模拟出新操作系统的运行环境,以支持代码调试工作。针对上述要求,为了使IDE能够生成符合新操作系统要求的运行代码,采用基于(50)的架构设计策略比较合适;为了模拟新操作系统的运行环境,通常采用(51)架构风格比较合适。
综合知识
52/75
某公司采用基于架构的软件设计(Architecture-Based Software Design,ABSD)方法进行软件设计与开发。ABSD方法有三个基础,分别是对系统进行功能分解、采用(52)实现质量属性与商业需求、采用软件模板设计软件结构。ABSD方法主要包括架构需求等6个主要活动,其中(53)活动的目标是标识潜在的风险,及早发现架构设计中的缺陷和错误;(54)活动针对用户的需求变化,修改应用架构,满足新的需求。
小王是该公司的一位新任架构师,在某项目中主要负责架构文档化方面的工作。小王(55)的做法不符合架构文档化的原则。架构文档化的主要输出结果是架构规格说明书和(56)。
综合知识
53/75
某公司采用基于架构的软件设计(Architecture-Based Software Design,ABSD)方法进行软件设计与开发。ABSD方法有三个基础,分别是对系统进行功能分解、采用(52)实现质量属性与商业需求、采用软件模板设计软件结构。ABSD方法主要包括架构需求等6个主要活动,其中(53)活动的目标是标识潜在的风险,及早发现架构设计中的缺陷和错误;(54)活动针对用户的需求变化,修改应用架构,满足新的需求。
小王是该公司的一位新任架构师,在某项目中主要负责架构文档化方面的工作。小王(55)的做法不符合架构文档化的原则。架构文档化的主要输出结果是架构规格说明书和(56)。
综合知识
54/75
某公司采用基于架构的软件设计(Architecture-Based Software Design,ABSD)方法进行软件设计与开发。ABSD方法有三个基础,分别是对系统进行功能分解、采用(52)实现质量属性与商业需求、采用软件模板设计软件结构。ABSD方法主要包括架构需求等6个主要活动,其中(53)活动的目标是标识潜在的风险,及早发现架构设计中的缺陷和错误;(54)活动针对用户的需求变化,修改应用架构,满足新的需求。
小王是该公司的一位新任架构师,在某项目中主要负责架构文档化方面的工作。小王(55)的做法不符合架构文档化的原则。架构文档化的主要输出结果是架构规格说明书和(56)。
综合知识
55/75
某公司采用基于架构的软件设计(Architecture-Based Software Design,ABSD)方法进行软件设计与开发。ABSD方法有三个基础,分别是对系统进行功能分解、采用(52)实现质量属性与商业需求、采用软件模板设计软件结构。ABSD方法主要包括架构需求等6个主要活动,其中(53)活动的目标是标识潜在的风险,及早发现架构设计中的缺陷和错误;(54)活动针对用户的需求变化,修改应用架构,满足新的需求。
小王是该公司的一位新任架构师,在某项目中主要负责架构文档化方面的工作。小王(55)的做法不符合架构文档化的原则。架构文档化的主要输出结果是架构规格说明书和(56)。
综合知识
56/75
某公司采用基于架构的软件设计(Architecture-Based Software Design,ABSD)方法进行软件设计与开发。ABSD方法有三个基础,分别是对系统进行功能分解、采用(52)实现质量属性与商业需求、采用软件模板设计软件结构。ABSD方法主要包括架构需求等6个主要活动,其中(53)活动的目标是标识潜在的风险,及早发现架构设计中的缺陷和错误;(54)活动针对用户的需求变化,修改应用架构,满足新的需求。
小王是该公司的一位新任架构师,在某项目中主要负责架构文档化方面的工作。小王(55)的做法不符合架构文档化的原则。架构文档化的主要输出结果是架构规格说明书和(56)。
综合知识
57/75
架构权衡分析方法(Architecture Tradeoff Analysis Method,ATAM)是一种系统架构评估方法,主要在系统开发之前,针对性能、(57)、安全性和可修改性等质量属性进行评价和折中。ATAM可以分为4个主要的活动阶段,包括需求收集、(58)描述、属性模型构造和分析、架构决策与折中,整个评估过程强调以(59)作为架构评估的核心概念。
某软件公司采用ATAM进行软件架构评估,在评估过程中识别出了多个关于质量属性的描述。其中,《系统在进行文件保存操作时,应该与Windows系统的操作方式保持一致》主要与(60)质量属性相关;《系统应该提供一个开放的API接口,支持远程对系统的行为进行控制与调试》主要与(61)质量属性相关。在识别出上述描述后,通常采用(62)对质量属性的描述进行刻画与排序。在评估过程中,(63)是一个会影响多个质量属性的架构设计决策。
综合知识
58/75
架构权衡分析方法(Architecture Tradeoff Analysis Method,ATAM)是一种系统架构评估方法,主要在系统开发之前,针对性能、(57)、安全性和可修改性等质量属性进行评价和折中。ATAM可以分为4个主要的活动阶段,包括需求收集、(58)描述、属性模型构造和分析、架构决策与折中,整个评估过程强调以(59)作为架构评估的核心概念。
某软件公司采用ATAM进行软件架构评估,在评估过程中识别出了多个关于质量属性的描述。其中,《系统在进行文件保存操作时,应该与Windows系统的操作方式保持一致》主要与(60)质量属性相关;《系统应该提供一个开放的API接口,支持远程对系统的行为进行控制与调试》主要与(61)质量属性相关。在识别出上述描述后,通常采用(62)对质量属性的描述进行刻画与排序。在评估过程中,(63)是一个会影响多个质量属性的架构设计决策。
综合知识
59/75
架构权衡分析方法(Architecture Tradeoff Analysis Method,ATAM)是一种系统架构评估方法,主要在系统开发之前,针对性能、(57)、安全性和可修改性等质量属性进行评价和折中。ATAM可以分为4个主要的活动阶段,包括需求收集、(58)描述、属性模型构造和分析、架构决策与折中,整个评估过程强调以(59)作为架构评估的核心概念。
某软件公司采用ATAM进行软件架构评估,在评估过程中识别出了多个关于质量属性的描述。其中,《系统在进行文件保存操作时,应该与Windows系统的操作方式保持一致》主要与(60)质量属性相关;《系统应该提供一个开放的API接口,支持远程对系统的行为进行控制与调试》主要与(61)质量属性相关。在识别出上述描述后,通常采用(62)对质量属性的描述进行刻画与排序。在评估过程中,(63)是一个会影响多个质量属性的架构设计决策。
综合知识
60/75
架构权衡分析方法(Architecture Tradeoff Analysis Method,ATAM)是一种系统架构评估方法,主要在系统开发之前,针对性能、(57)、安全性和可修改性等质量属性进行评价和折中。ATAM可以分为4个主要的活动阶段,包括需求收集、(58)描述、属性模型构造和分析、架构决策与折中,整个评估过程强调以(59)作为架构评估的核心概念。
某软件公司采用ATAM进行软件架构评估,在评估过程中识别出了多个关于质量属性的描述。其中,《系统在进行文件保存操作时,应该与Windows系统的操作方式保持一致》主要与(60)质量属性相关;《系统应该提供一个开放的API接口,支持远程对系统的行为进行控制与调试》主要与(61)质量属性相关。在识别出上述描述后,通常采用(62)对质量属性的描述进行刻画与排序。在评估过程中,(63)是一个会影响多个质量属性的架构设计决策。
综合知识
61/75
架构权衡分析方法(Architecture Tradeoff Analysis Method,ATAM)是一种系统架构评估方法,主要在系统开发之前,针对性能、(57)、安全性和可修改性等质量属性进行评价和折中。ATAM可以分为4个主要的活动阶段,包括需求收集、(58)描述、属性模型构造和分析、架构决策与折中,整个评估过程强调以(59)作为架构评估的核心概念。
某软件公司采用ATAM进行软件架构评估,在评估过程中识别出了多个关于质量属性的描述。其中,《系统在进行文件保存操作时,应该与Windows系统的操作方式保持一致》主要与(60)质量属性相关;《系统应该提供一个开放的API接口,支持远程对系统的行为进行控制与调试》主要与(61)质量属性相关。在识别出上述描述后,通常采用(62)对质量属性的描述进行刻画与排序。在评估过程中,(63)是一个会影响多个质量属性的架构设计决策。
综合知识
62/75
架构权衡分析方法(Architecture Tradeoff Analysis Method,ATAM)是一种系统架构评估方法,主要在系统开发之前,针对性能、(57)、安全性和可修改性等质量属性进行评价和折中。ATAM可以分为4个主要的活动阶段,包括需求收集、(58)描述、属性模型构造和分析、架构决策与折中,整个评估过程强调以(59)作为架构评估的核心概念。
某软件公司采用ATAM进行软件架构评估,在评估过程中识别出了多个关于质量属性的描述。其中,《系统在进行文件保存操作时,应该与Windows系统的操作方式保持一致》主要与(60)质量属性相关;《系统应该提供一个开放的API接口,支持远程对系统的行为进行控制与调试》主要与(61)质量属性相关。在识别出上述描述后,通常采用(62)对质量属性的描述进行刻画与排序。在评估过程中,(63)是一个会影响多个质量属性的架构设计决策。
综合知识
63/75
架构权衡分析方法(Architecture Tradeoff Analysis Method,ATAM)是一种系统架构评估方法,主要在系统开发之前,针对性能、(57)、安全性和可修改性等质量属性进行评价和折中。ATAM可以分为4个主要的活动阶段,包括需求收集、(58)描述、属性模型构造和分析、架构决策与折中,整个评估过程强调以(59)作为架构评估的核心概念。
某软件公司采用ATAM进行软件架构评估,在评估过程中识别出了多个关于质量属性的描述。其中,《系统在进行文件保存操作时,应该与Windows系统的操作方式保持一致》主要与(60)质量属性相关;《系统应该提供一个开放的API接口,支持远程对系统的行为进行控制与调试》主要与(61)质量属性相关。在识别出上述描述后,通常采用(62)对质量属性的描述进行刻画与排序。在评估过程中,(63)是一个会影响多个质量属性的架构设计决策。
综合知识
64/75
以下关于第三方认证服务的叙述中,正确的是(64)。
综合知识
65/75
采用Kerberos系统进行认证时,可以在报文中加入(65)来防止重放攻击。
综合知识
66/75
以下关于为撰写学术论文引用他人资料的叙述中,错误的是(66)、
综合知识
67/75
以下作品中,不适用或不受著作权法保护的作品是(67)。
综合知识
68/75
以下著作权权利中,(68)的保护期受时间限制。
综合知识
69/75
某企业拟生产甲、乙、丙、丁四个产品。每个产品必须依次由设计部门、制造部门和检验部门进行设计、制造和检验,每个部门生产产品的顺序是相同的。各产品各工序所需的时间如下表所示:

只要适当安排好产品生产顺序,企业最快可以在(69)天全部完成这四个产品。
综合知识
70/75
1路和2路公交车都将在10分钟内均匀随机地到达同一车站,则它们相隔4分钟内到达该站的概率为(70)。
综合知识
71/75
A system’s architecture is a representation of a system in which there is ;i mapping of (71) onto hardware and software components, a mapping of the (72) onto the hardware architecture, and a concern for the human interaction with these components. That is, system architecture is concerned with a total system, including hardware, software, and humans. Software architectural structures can be divided into three major categories, depending on the broad nature of the elements they show. 1) (73) embody decisions as a set of code or data units that have to be constructed or procured. 2) (74) embody decisions as to how the system is to be structured as set of elements that have runtime behavior and interactions. 3) (75) embody decisions as to how the system will relate to nonsoftware structures in its environment (such as CPUs, file systems, networks, development teams, etc.).
综合知识
72/75
A system’s architecture is a representation of a system in which there is ;i mapping of (71) onto hardware and software components, a mapping of the (72) onto the hardware architecture, and a concern for the human interaction with these components. That is, system architecture is concerned with a total system, including hardware, software, and humans. Software architectural structures can be divided into three major categories, depending on the broad nature of the elements they show. 1) (73) embody decisions as a set of code or data units that have to be constructed or procured. 2) (74) embody decisions as to how the system is to be structured as set of elements that have runtime behavior and interactions. 3) (75) embody decisions as to how the system will relate to nonsoftware structures in its environment (such as CPUs, file systems, networks, development teams, etc.).
综合知识
73/75
A system’s architecture is a representation of a system in which there is ;i mapping of (71) onto hardware and software components, a mapping of the (72) onto the hardware architecture, and a concern for the human interaction with these components. That is, system architecture is concerned with a total system, including hardware, software, and humans. Software architectural structures can be divided into three major categories, depending on the broad nature of the elements they show. 1) (73) embody decisions as a set of code or data units that have to be constructed or procured. 2) (74) embody decisions as to how the system is to be structured as set of elements that have runtime behavior and interactions. 3) (75) embody decisions as to how the system will relate to nonsoftware structures in its environment (such as CPUs, file systems, networks, development teams, etc.).
综合知识
74/75
A system’s architecture is a representation of a system in which there is ;i mapping of (71) onto hardware and software components, a mapping of the (72) onto the hardware architecture, and a concern for the human interaction with these components. That is, system architecture is concerned with a total system, including hardware, software, and humans. Software architectural structures can be divided into three major categories, depending on the broad nature of the elements they show. 1) (73) embody decisions as a set of code or data units that have to be constructed or procured. 2) (74) embody decisions as to how the system is to be structured as set of elements that have runtime behavior and interactions. 3) (75) embody decisions as to how the system will relate to nonsoftware structures in its environment (such as CPUs, file systems, networks, development teams, etc.).
综合知识
75/75
A system’s architecture is a representation of a system in which there is ;i mapping of (71) onto hardware and software components, a mapping of the (72) onto the hardware architecture, and a concern for the human interaction with these components. That is, system architecture is concerned with a total system, including hardware, software, and humans. Software architectural structures can be divided into three major categories, depending on the broad nature of the elements they show. 1) (73) embody decisions as a set of code or data units that have to be constructed or procured. 2) (74) embody decisions as to how the system is to be structured as set of elements that have runtime behavior and interactions. 3) (75) embody decisions as to how the system will relate to nonsoftware structures in its environment (such as CPUs, file systems, networks, development teams, etc.).