某汽车加工工厂有两条装配线L1和L2,每条装配线的工位数均为n(S
ij,i=1或2,j= 1,2,...,n),两条装配线对应的工位完成同样的加工工作,但是所需要的时间可能不同(a
ij,i=1或2,j=1,2,...,n)。汽车底盘开始到进入两条装配线的时间 (e
1,e
2) 以及装配后到结束的时间(x
1x
2)也可能不相同。从一个工位加工后流到下一个工位需要迁移时间(t
ij,i=1或2,j=2,...n)。现在要以最快的时间完成一辆汽车的装配,求最优的装配路线。
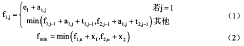
分析该问题,发现问题具有最优子结构。以L1为例,除了第一个工位之外,经过第j个工位的最短时间包含了经过L1的第j-1个工位的最短时间或者经过L2的第j-1个工位的最短时间,如式(1)。装配后到结束的最短时间包含离开L1的最短时间或者离开L2的最短时间如式(2)。

由于在求解经过L1和L2的第j个工位的最短时间均包含了经过L1的第j-1个工位的最短时间或者经过L2的第j-1个工位的最短时间,该问题具有重复子问题的性质,故采用迭代方法求解。
该问题采用的算法设计策略是(62),算法的时间复杂度为(63)
以下是一个装配调度实例,其最短的装配时间为(64),装配路线为(65)
